Добавить проект
Прочитать правила
Платный доступ
Авторизация:
Информация


Чертежи » Рабочие проекты : Инженерные системы : Электроснабжение : Наружные сети электроснабжения : ЭС Модернизация участка сети 10 кВ по Ф-2,9 ПС 110 кВ Животновод в части установки индикаторов короткого замыкания, интеллектуальных разъединителей и реклоузеров

ЭС Модернизация участка сети 10 кВ по Ф-2,9 ПС 110 кВ Животновод в части установки индикаторов короткого замыкания, интеллектуальных разъединителей и реклоузеров

| Рб:
2
| Платформа: AutoCad | Поместил: VladimirGas | Дата: 12.3.26 03:43 | Год выпуска: 2025 | Размер: 11,42 MB | Скачали: 0
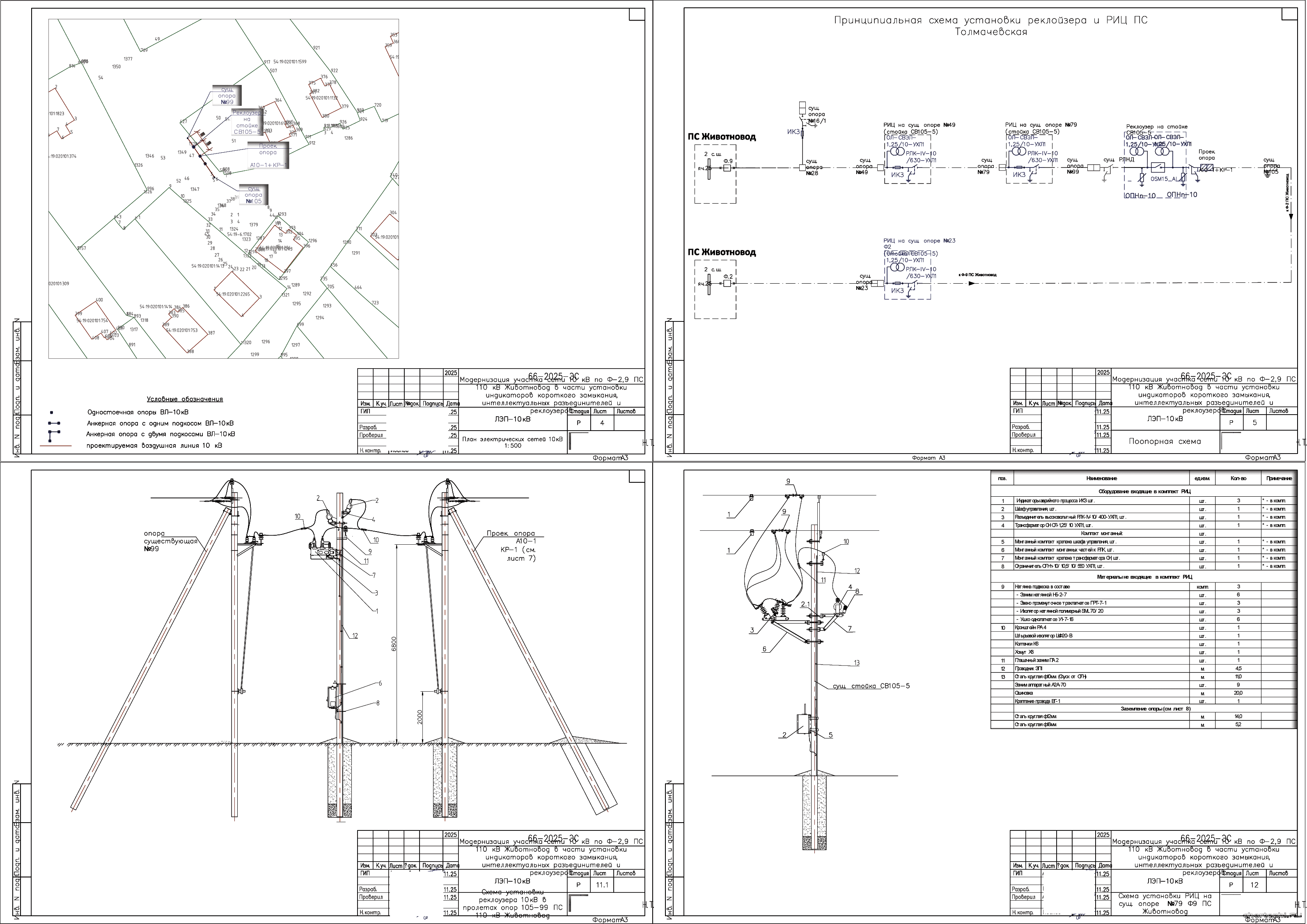
Коротко о файле: РД / ЛЭП 10 кВ. Грунты - суглинистые, пучинистые, водонасыщенные. Климатические условия в районе трасс ВЛ-10 кВ относятся: по ветру к III району, по гололеду к III району. / Состав: комплект чертежей + спецификация.
ЭС Модернизация участка сети 10 кВ по Ф-2,9 ПС 110 кВ Животновод в части установки индикаторов короткого замыкания, интеллектуальных разъединителей и реклоузеров

Проектом предусмотрено:
- установка индикатор короткого замыкания и интеллектуальный разъединитель на опоре 23 Ф-2 Животновод;
- установка реклоузер 10 кВ на стойке СВ105-5;
- установка индикатор короткого замыкания на опоре 16/1 Ф-9 Животновод;
- установка анкерной опоры с разьединителем РЛНД;
- установка индикатор короткого замыкания и интеллектуальный разъединитель на опоре 49 Ф-9 Животновод;
установка индикатор короткого замыкания и интеллектуальный разъединитель на опоре 79 Ф-9 Животновод.

Ведомость рабочих чертежей
Общие данные
План электрических сетей 10 кВ 1:500 
Поопорная схема 
Ведомость объемов строительно -монтажных работ 
Ведомость опор 
Заземлитель комбинированный для ж / б опор  с разъединителем 
Заземлитель комбинированный для ж / б опор  с реклоузером 
Закрепление опор в грунте 
Схема установки реклоузера 10 кВ в пролетах опор 105-99 ПС 110 кВ Животновод 
Схема установки РИЦ на сущ . опоре  № 79 Ф 9 ПС Животновод 
Схема установки РИЦ на сущ . опоре № 49 Ф 9 ПС Животновод 
Схема установки РИЦ на сущ . опоре № 23 Ф 2 ПС Животновод 
Ведомость объемов пуско -наладочных работ
 



Содержимое архива


Проекты (работы, чертежи) можно скачать став участником и внеся свой вклад в развитие. Как скачать ? подробнее >>>>>>>
Последний раз скачивали:

 
Cloudim - онлайн консультант для сайта бесплатно.